All Retail
Опубликовано

IRR - Внутренняя норма рентабельности

Внутренняя норма доходности (англ. internal rate of return, общепринятое сокращение — IRR (ВНД)) — это процентная ставка, при которой чистый дисконтированный доход (NPV) равен 0.

NPV рассчитывается на основании потока платежей, дисконтированного к сегодняшнему дню.

IRR (Internal Rate of Return, IRR) определяет максимальную стоимость привлекаемого капитала, при которой инвестиционный проект остается выгодным. В другой формулировке, это средний доход на вложенный капитал, обеспечиваемый данным инвестиционным проектом, т.е. эффективность вложений капитала в данный проект равна эффективности инвестирования под IRR процентов в какой-либо финансовый инструмент с равномерным доходом.

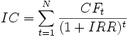
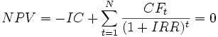
Иначе говоря, для потока платежей CF, где CFt — платёж через t лет (t = 1,...,N) и начальной инвестиции в размере IC = − CF0 внутренняя норма доходности IRR рассчитывается из уравнения:

или

Пример:
Год       Поток платежей
0           -100
1           +120

Расчет NPV:
i = процентная ставка
NPV = -100 +120/[(1+i/100)^1]

Расчет IRR (в процентах):
NPV = 0
-100 +120/[(1+IRR/100)^1] = 0
IRR = 20

При принятии инвестиционных решений ВНД используется для расчета ставки альтернативных вложений. При выборе из нескольких проектов с разными ВНД, выбирается проект с максимальным значением ВНД.

IRR не всегда может быть корректно получен из уравнения NPV=0, при определенных значениях денежных потоков это уравнение может не иметь решений или иметь несколько решений. В таких ситуациях IRR проекта считается неопределенным. Для того, чтобы исключить эти сложности, иногда используется модифицированная внутренняя норма рентабельности, хотя этот показатель распространен значительно меньше, чем IRR.

Внутренняя норма доходности финансовых инструментов 

Внутренней доходностью для финансовых инструментов называют процентную ставку, при которой приведенная стоимость будущего потока платежей по данному финансовому инструменту совпадает с его рыночной ценой. Определённая таким образом внутренняя доходность равна внутренней норме доходности инвестиции в данный финансовый момент времени.

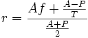
Для определения внутренней нормы доходности облигации часто используют приближённую «купеческую» формулу:

где:

A — номинал облигации;
P — текущая рыночная цена облигации;
f — годовая купонная ставка;
T (в годах) — срок до погашения облигации.

×

Через социальные сети

или

Через социальные сети

или